بازدهی دارایی کل در ایزیتریدر به روش MWRR
بازدهی دارایی کل معیاری برای سنجش عملکرد پرتفوی یک سرمایهگذار طی یک دوره زمانی مشخص است. این شاخص نشان میدهد سرمایهگذاریها، با درنظرگرفتن تغییرات ارزش داراییها و ورود یا خروج نقدینگی، چه میزان رشد یا کاهش داشتهاند.
در ایزیتریدر، بازدهی دارایی کل بر اساس روش بازدهی وزنی بر مبنای پول (MWRR) محاسبه و نمایش داده میشود تا سرمایهگذار بتواند بازده واقعی پرتفوی خود را مشاهده کند. در ادامه مفهوم این شاخص، نحوه مشاهده آن در ایزی تریدر و روش محاسبه آن توضیح داده شده است.
دسترسی سریعتر به مطالب
مفهوم بازدهی دارایی کل به روش MWRR
بازدهی دارایی کل به روش MWRR (بازدهی وزنی بر مبنای پول) شاخصی است که عملکرد پرتفوی سرمایهگذار را با در نظر گرفتن تمامی جریانهای نقدی ورودی و خروجی اندازهگیری میکند. در این روش، زمان و میزان هر واریز یا برداشت بر نتیجه نهایی بازدهی تاثیر مستقیم دارد.
به همین دلیل، MWRR تصویری دقیق از بازده واقعی سرمایهگذاری در طول دوره ارائه میدهد و نشان میدهد که سبد سرمایهگذار در یک بازه مشخص چه میزان سود یا زیان ایجاد کرده است.
ویژگیهای روش MWRR
- در نظر گرفتن تمام جریانهای نقدی ورودی و خروجی
- اثرگذاری زمان ورود یا خروج سرمایه بر بازده نهایی
- مناسب برای ارزیابی عملکرد شخصی سرمایهگذار
- نمایش بازده واقعی سرمایهگذاری، نه صرفاً تغییرات ارزش بازار
نحوه محاسبه MWRR
در محاسبه MWRR، هر جریان نقدی با توجه به زمان وقوع آن وزندهی میشود. به این معنا که سرمایهای که زودتر وارد یا دیرتر خارج شود، سهم بیشتری یا کمتری در بازده کل خواهد داشت.

مثال عددی
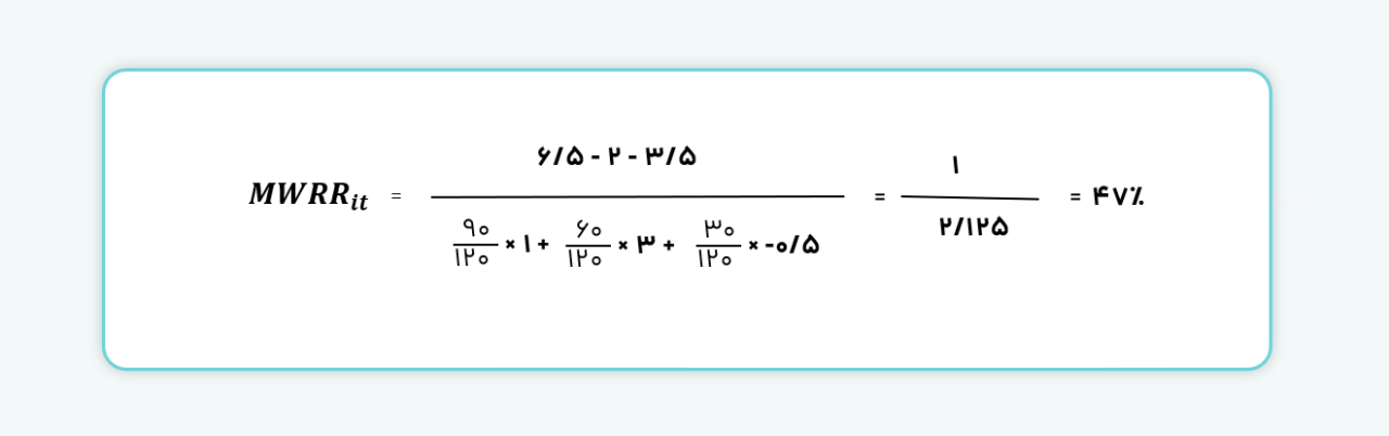
فرض کنید در یک دوره چهار ماهه (۱۲۰ روزه) جریانهای نقدی شما به شرح زیر باشد:
- ابتدای دوره: ۲ میلیون تومان سرمایهگذاری میکنید.
- پایان ماه اول: ۱ میلیون تومان مجدد سرمایهگذاری میکنید.
- پایان ماه دوم: ۳ میلیون تومان مجدد سرمایهگذاری میکنید.
- ماه سوم: ۵۰۰ هزار تومان از سبد برداشت میکنید.
- پایان دوره (ماه چهارم): ارزش نهایی سبد ۶ میلیون ۵۰۰ هزار تومان است.
بنابراین بازدهی وزنی بر اساس پول (MWRR) بهصورت زیر محاسبه میشود:

با وزندهی هر جریان نقدی براساس زمان ورود یا خروج آن، سرمایه اولیه بیشترین سهم را در بازده کل دارد، واریزهای بعدی سهم کمتری دارند و برداشت، اثر منفی بر بازده نهایی میگذارد. با جمعبندی اثر تمامی جریانها، بازده واقعی پرتفوی در این مثال حدود ۴۷٪ محاسبه میشود.
روش TWRR برای سنجش بازدهی سبدگردان
بازدهی زمان وزنی (TWRR) شاخصی است که عملکرد مدیریت سبد را مستقل از ورود یا خروج سرمایهگذار نشان میدهد. این روش برای ارزیابی بازده واقعی سبدگردان و مقایسه عملکرد مدیران سبد سرمایه گذاری مختلف مناسب است.
ویژگیهای TWRR
- تمرکز صرف بر عملکرد مدیریت سبد
- مناسب برای مقایسه مدیران و سبدگردانهای مختلف
- حذف اثر جریانهای نقدی سرمایهگذار از محاسبه
نحوه محاسبه TWRR
۱- تقسیم دوره به زیر دورهها
- کل دوره مورد نظر بر اساس تاریخ وقوع جریانهای نقدی (واریز یا برداشت سرمایه توسط سرمایهگذار) و تاریخ شروع یا پایان قرارداد سبدگردانی به زیر دورههای متعدد تقسیم میشود.
- اگر در طول دوره n جریان نقدی رخ دهد، کل دوره به n+1 زیر دوره تقسیم میشود.
تقسیمبندی زیر دورهها
- زیر دوره اول: از ابتدای دوره تا تاریخ اولین جریان نقدی
- زیر دوره دوم: از تاریخ جریان نقدی اول تا جریان نقدی دوم
- زیر دوره سوم: از جریان نقدی دوم تا جریان نقدی سوم
- …
- زیر دوره آخر: از تاریخ آخرین جریان نقدی تا پایان دوره
این تقسیمبندی باعث میشود اثر ورود یا خروج سرمایهگذار در محاسبه بازده هر زیر دوره حذف شود و تنها عملکرد مدیریت سبد مشخص شود.
۲. محاسبه بازده هر زیر دوره
برای هر زیر دوره i، بازده به صورت زیر محاسبه میشود:

برای هر زیر دوره، بازده هر زیر دوره مستقل از ورود یا خروج سرمایهگذار محاسبه میشود و تنها عملکرد مدیریت سبد را نشان میدهد.
۳. تجمیع بازده کل دوره
پس از محاسبه بازده هر زیر دوره، بازده کل دوره سبدگردان با ضرب بازدههای زیر دورهها محاسبه میشود:

نتیجه نشان میدهد که مدیریت سبد به تنهایی طی دوره چه بازدهی ایجاد کرده است، بدون اینکه ورود یا خروج پول سرمایهگذار تاثیر داشته باشد.
نحوه مشاهده بازدهی دارایی کل به روش (MWRR) در ایزیتریدر
برای بررسی بازدهی دارایی کل در ایزیتریدر، ابتدا وارد بخش پرتفوی شوید گزینه «بیشتر» را انتخاب کنید. در این بخش میتوانید بازدهی پرتفوی را برای بازههای زمانی مختلف (یک ماه، سه ماه، شش ماه، یک سال) مشاهده کنید.

در کنار عدد بازدهی، مقایسهای با دوره مشابه قبل ارائه میشود تا بتوانید تغییر عملکرد پرتفوی خود را نسبت به گذشته مشاهده کنید.
مقایسه روشهای MWRR و TWRR
MWRR و TWRR دو شاخص رایج برای سنجش بازدهی پرتفوی هستند که هر یک کاربرد و دیدگاه متفاوتی ارائه میدهند.

بازدهی دارایی کل به روش (MWRR) و بازده زمان وزنی (TWRR) دو شاخص مکمل برای سنجش عملکرد پرتفوی هستند. MWRR بازده واقعی سرمایهگذار را با در نظر گرفتن جریانهای نقدی نشان میدهد، در حالی که TWRR عملکرد مدیریت سبد را مستقل از ورود و خروج سرمایه اندازهگیری میکند. انتخاب شاخص مناسب بستگی به هدف تحلیل و دیدگاه سرمایهگذار یا مدیر سبد دارد.
سوالات متداول
۱- بازدهی دارایی کل به روش MWRR چیست؟
بازدهی دارایی کل به روش MWRR (بازدهی وزنی بر مبنای پول) معیاری است که عملکرد سرمایهگذاری شما را با در نظر گرفتن همه جریانهای نقدی ورودی و خروجی اندازهگیری میکند. این شاخص نشان میدهد که سرمایهگذاریها طی یک دوره مشخص چه میزان سود یا زیان ایجاد کردهاند.
۲- تفاوت MWRR و TWRR در چیست؟
MWRR: بازده واقعی سرمایهگذار را نشان میدهد و ورود یا خروج پول اثر مستقیم روی آن دارد.
TWRR: عملکرد مدیریت سبد را مستقل از جریانهای نقدی سرمایهگذار اندازهگیری میکند و برای مقایسه مدیران سبد مناسب است.
۳- چگونه بازدهی دارایی کل به روش MWRR در ایزیتریدر مشاهده میشود؟
۱- وارد بخش پرتفوی در سامانه ایزی تریدر شوید.
۲- گزینه «بیشتر» را انتخاب کنید.
۳- بازه زمانی مورد نظر (یک ماه، سه ماه، شش ماه، یک سال) را انتخاب و بازدهی پرتفوی را مشاهده کنید.